FUN88乐天使·(中国)集团
集团官网
设为首页
|
加为收藏
站内搜索:
首页
关于我们
FUN88乐天使简介
历史沿革
组织机构
现任领导
公司动态
公司风采
党群工作
理论专栏
专题教育
支部工作
党员发展
工会活动
团队队伍
教师结构
教学名师
教师风采
近年引进的高层次人才
研究生教育
工作动态
学科介绍
培养工作
学位工作
博士生导师
硕士生导师
旗下产业
工作动态
专业介绍
教学成果
实验中心
学科与科研
工作动态
学科设置
学术活动
科研平台
项目成果
三全育人
工作动态
团学工作
人才招聘
政策解读
课程育人
科研育人
实践育人
文化育人
网络育人
心理育人
管理育人
服务育人
资助育人
组织育人
合作交流
国际合作与交流
校企合作
员工之窗
员工工作
员工风采
资源服务
图书资料
校院制度
信息公开
下载专区
研究生教育
Graduate study
工作动态
学科介绍
培养工作
学位工作
博士生导师
硕士生导师
工作动态
当前位置:
首页
>
研究生教育
>
工作动态
> 正文
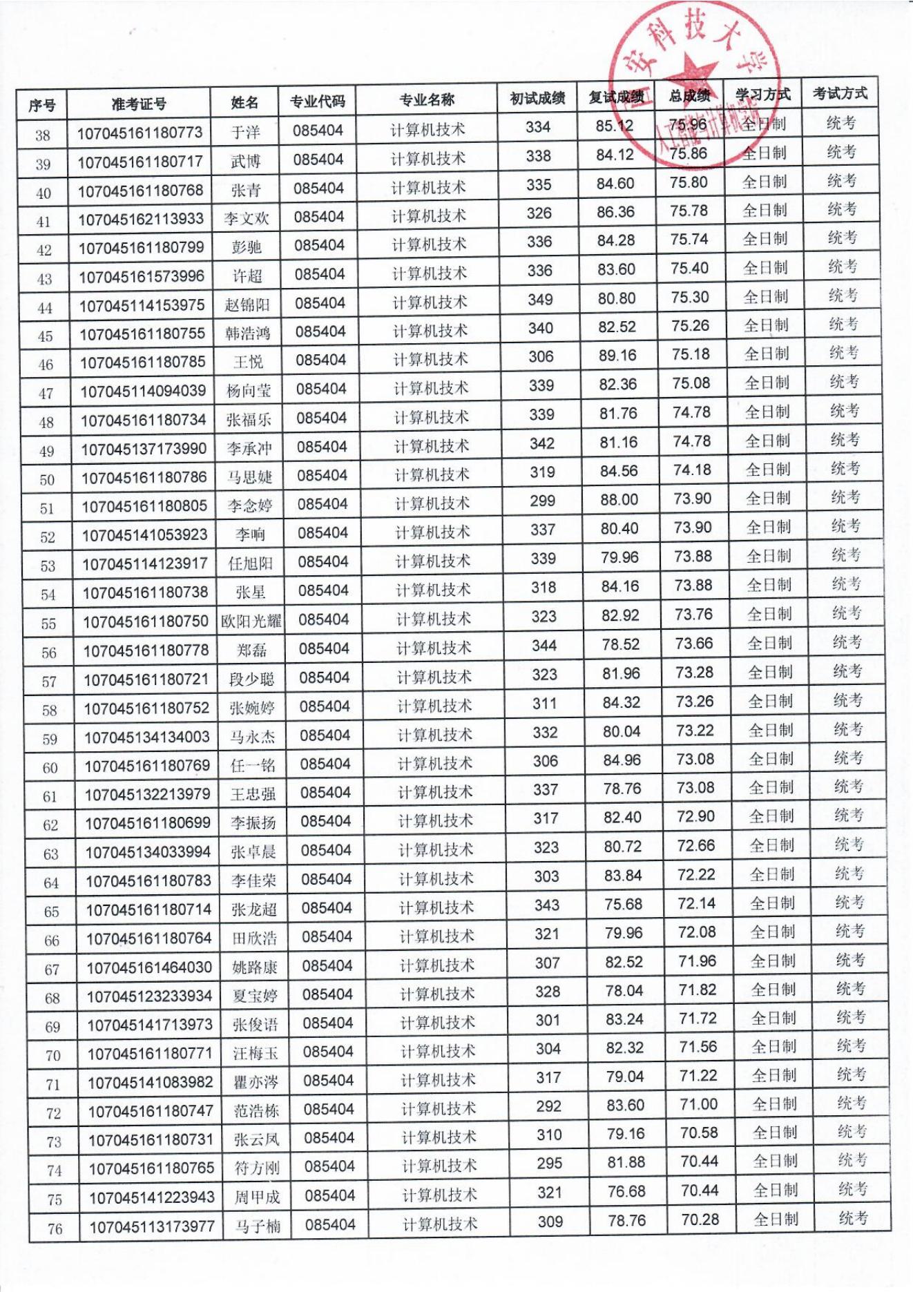
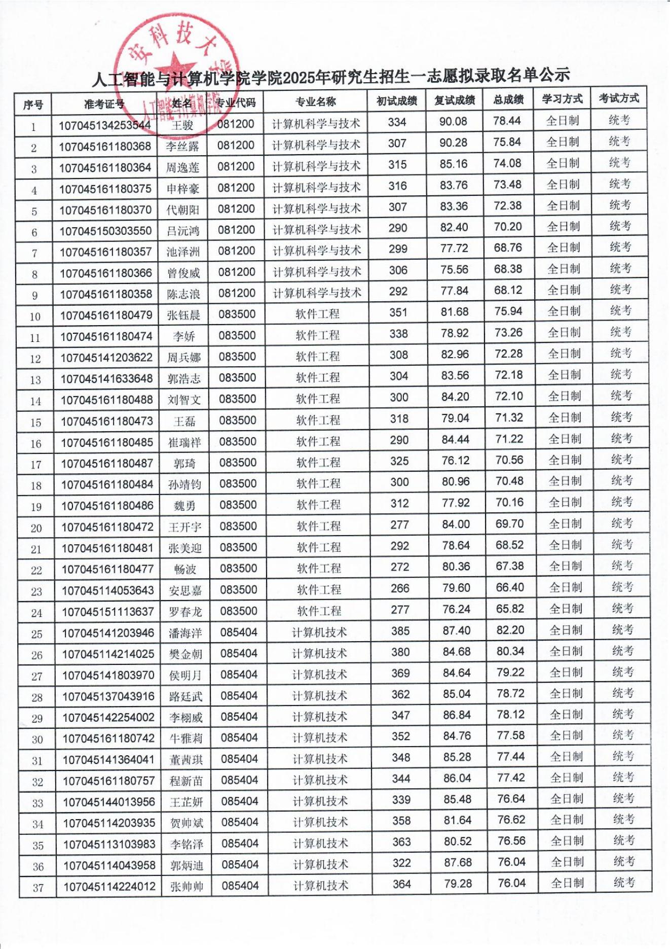
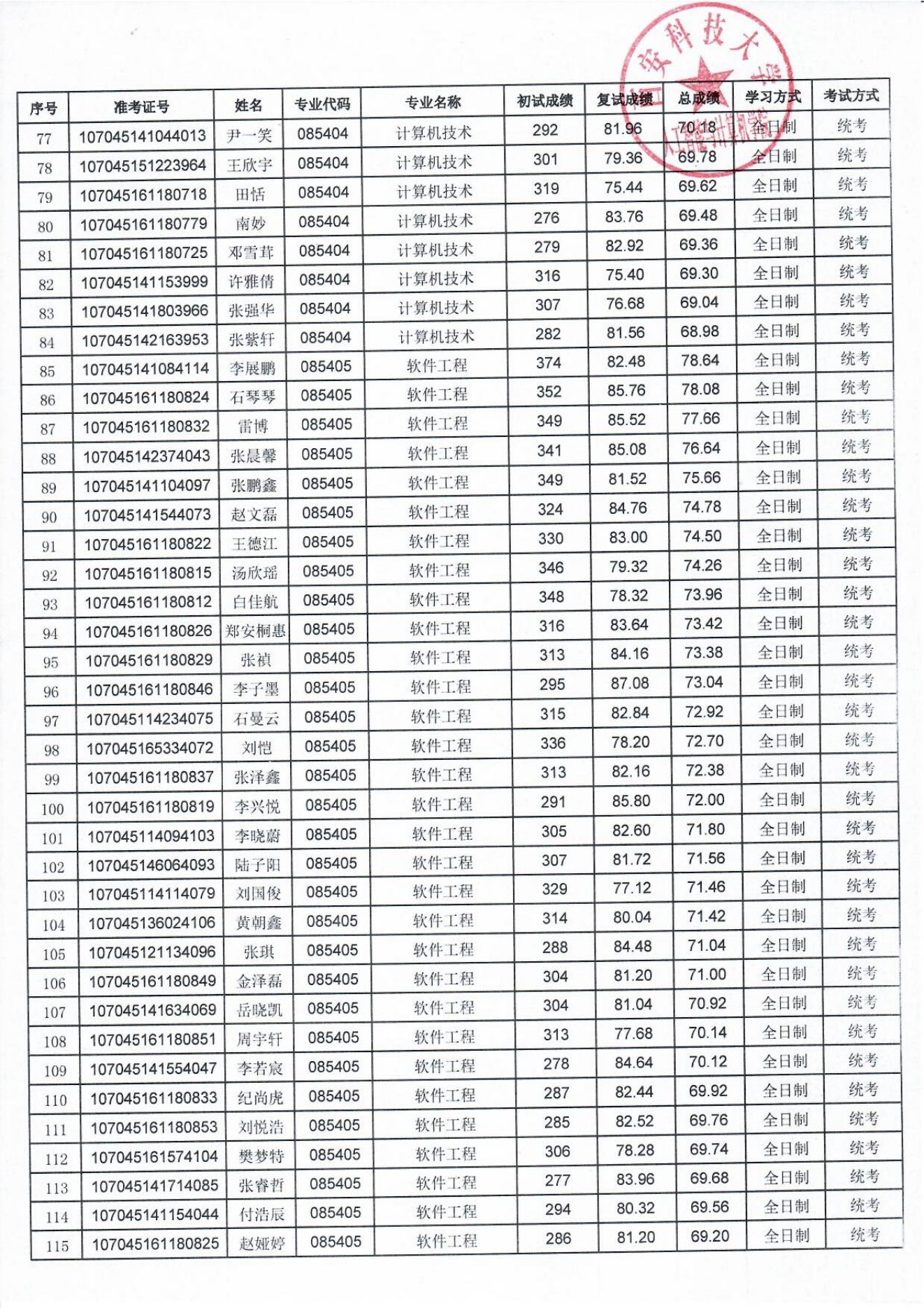
2025年研究生招生一志愿拟录取名单公示
发布日期:2025-03-31 浏览数:
上一篇:人工智能与计算机公司2025年硕士研究生接收调剂公告
下一篇:2025年硕士研究生招生复试工作方案
友情链接: